Сайт использует сервис веб-аналитики Яндекс Метрика с помощью технологии «cookie». Пользуясь сайтом, вы даете согласие на использование данной технологии.
Математика за 8 клас. Събиране и изваждане на рационални дроби
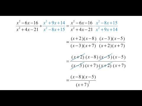
Здравейте! В това видео ще научите и ще си припомните: -Определение за рационална дроб -Събиране и изваждане на рационални дроби с еднакви знаменатели -Събиране и изваждане на рационални дроби с различни знаменатели (чрез привеждане под общ знаменател) -Формули за съкратено умножение (разлика от квадрати) -Разлагане на квадратен тричлен