Сайт использует сервис веб-аналитики Яндекс Метрика с помощью технологии «cookie». Пользуясь сайтом, вы даете согласие на использование данной технологии.
Политика конфиденциальности | Согласие на обработку персональных данных
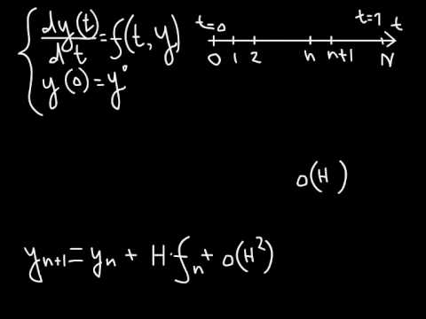
3_03. Явный алгоритм Эйлера для ОДУ
Задача века решена!
✓ Про ошибку выжившего и ремни безопасности | Математика вокруг нас | Борис Трушин
Пример решения задачи Коши методом Эйлера. Метод Эйлера с пересчетом.
А по силам ли вам элементарная геометрия? #math #geometry
МЗЭ 2022 Численное решение дифференциальных уравнений. Неявный метод Эйлера. Ложкин С.А.
Задача про дыню