Сайт использует сервис веб-аналитики Яндекс Метрика с помощью технологии «cookie». Пользуясь сайтом, вы даете согласие на использование данной технологии.
Политика конфиденциальности | Согласие на обработку персональных данных
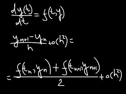
3_04. Неявный алгоритм Эйлера для ОДУ
4a. Методы Рунге-Кутта
Вычислительная математика 18 Численные методы решения уравнений в частных производных
03 Одношаговые явные методы численного интегрирования
Топ Ошибок в Мат Анализе
Смысл интеграла и производной. В помощь студенту
Линейное дифференциальное уравнение Коши-Эйлера
МЗЭ 2022 Пример решения явным и неявным методом Эйлера
Метод Эйлера ОДУ
Лидар за $13