Сайт использует сервис веб-аналитики Яндекс Метрика с помощью технологии «cookie». Пользуясь сайтом, вы даете согласие на использование данной технологии.
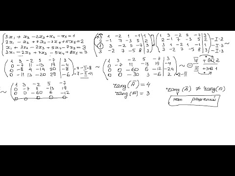
#Математика #численныеметоды #методгаусса Метод Гаусса – наиболее мощный и универсальный инструмент для нахождения решения любой системы линейных уравнений. Суть метода состоит, чтобы под главной диагонали получить нули из элементарных преобразований расширенных матриц. В данном видеоролике,я покажу как получить исходя из первой строки ,где возле неизвестного x1 стоит единичный коэффициент,и второй вариант, когда больше единицы. Мой Инстаграм: / avramzenek