Сайт использует сервис веб-аналитики Яндекс Метрика с помощью технологии «cookie». Пользуясь сайтом, вы даете согласие на использование данной технологии.
Политика конфиденциальности | Согласие на обработку персональных данных
2_4. LU-разложение
Метод Гаусса решения линейных уравнений
6-2. Метод сеток
Диктатор готов уйти / Диверсия против самолёта президента?
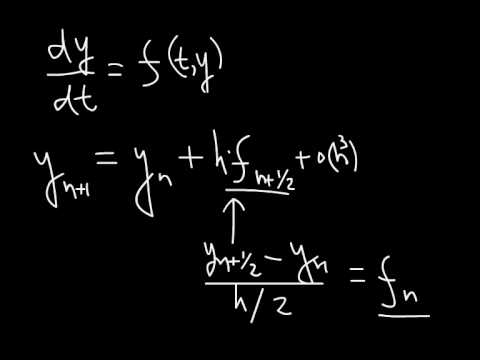
3_11. Алгоритм Рунге-Кутты
Линейные комбинации, span и базисные вектора | Сущность Линейной Алгебры, глава 2
ВОТ ЧТО МЫ КУПИЛИ НА ALIEXPRESS