Сайт использует сервис веб-аналитики Яндекс Метрика с помощью технологии «cookie». Пользуясь сайтом, вы даете согласие на использование данной технологии.
Политика конфиденциальности | Согласие на обработку персональных данных
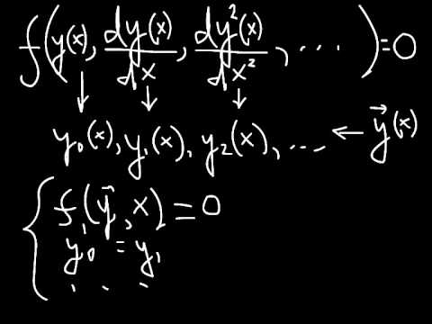
3_01. О постановке задач Коши для ОДУ
Линейная алгебра, Матрицы: Метод Гаусса. Высшая математика
2_3. Алгоритм исключения Гаусса
2.1 Точные методы решения СЛАУ (Крамера, Гаусса, Жордана, прогонки)
Смысл интеграла и производной. В помощь студенту
7.1. Yet another base math: нормы, QR-разложение
А.7.34 LU-факторизация, LUP-факторизация и разложение Холецкого