Сайт использует сервис веб-аналитики Яндекс Метрика с помощью технологии «cookie». Пользуясь сайтом, вы даете согласие на использование данной технологии.
Политика конфиденциальности | Согласие на обработку персональных данных
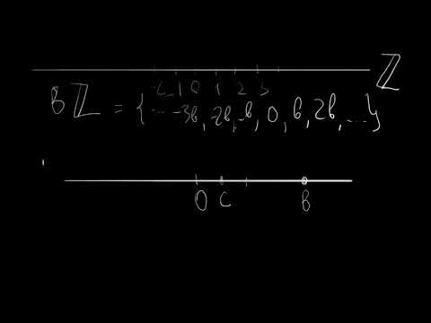
06 Подгруппы целых чисел
01 Начальная математическая подготовка
Задача про дыню
Топ Ошибок в Мат Анализе
Почему простые числа образуют спирали? [3Blue1Brown]
04 Целые числа как группа