Сайт использует сервис веб-аналитики Яндекс Метрика с помощью технологии «cookie». Пользуясь сайтом, вы даете согласие на использование данной технологии.
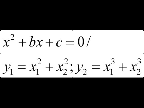
В този клип разглеждаме формулите на Виет - зависимостите между корените и коефициентите на квадратното уравнение. Математика осми клас. Станете член на канала и подрепете НеизвестнотоХ : / @neizvestnotox При грешки и забележки пишете по един коментар. Последвайте ни в социалните мрежи, където сме Неизвестното Х във Facebook и Instagram / neizvestnotox