Сайт использует сервис веб-аналитики Яндекс Метрика с помощью технологии «cookie». Пользуясь сайтом, вы даете согласие на использование данной технологии.
Политика конфиденциальности | Согласие на обработку персональных данных
Лекция 4-4 Теорема Гаусса в дифференциальной форме
Лекция 4 -1 Поляризация диэлектриков
Физический кружок: теорема Гаусса, диэлектрики | Второе занятие
Крутая Электрофорная машина
Теорема Гаусса - доказательство.
Я создал первый ракетный двигатель с ЛАМИНАРНЫМ ПОТОКОМ
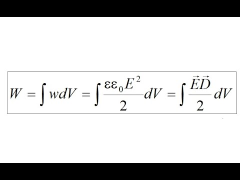
Лекция 5 4 Объемная плотность энергии
Впервые за 30 лет!.. / Пугающий прогноз ЦБ || Дмитрий Потапенко*
⚡️ Срочное обращение Зеленского || Отставка и арест
Физик-теоретик решает ОГЭ по физике
Доказательство теоремы о циркуляции вектора В - Дополнение-1 к лекции 7