Сайт использует сервис веб-аналитики Яндекс Метрика с помощью технологии «cookie». Пользуясь сайтом, вы даете согласие на использование данной технологии.
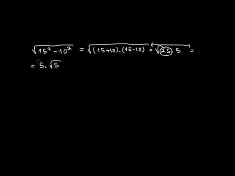
Математика 9 клас. Преобразуване на изрази съдържащи квадратен корен.
В този урок ще видите какво представляват ирационалните изрази и как да преобразувате изрази съдържащи квадратен корен. Също така ще научите какво представляват подобните радикали и как да рационализирате дроб.