Сайт использует сервис веб-аналитики Яндекс Метрика с помощью технологии «cookie». Пользуясь сайтом, вы даете согласие на использование данной технологии.
Политика конфиденциальности | Согласие на обработку персональных данных
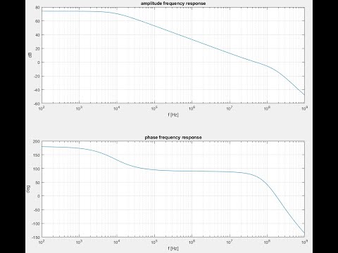
3-3. Частотные характеристики цепи 1 порядка
Что такое АЧХ и ФЧХ. Одновитковая магнитная рамка.
ОТЦ 2021. Лекция 12. Частотные характеристики цепей первого порядка.
Понятия: амплитудно-частотная, фазо-частотная характеристики - часть 10
Как работает ТРАНЗИСТОР Реально | Самое понятное объяснение! Ч1
Частотные характеристики | Утро с теорией управления, лекция 5
ОТЦ 2021. ПЗ 09. Формы частотных характеристик цепей первого порядка