Сайт использует сервис веб-аналитики Яндекс Метрика с помощью технологии «cookie». Пользуясь сайтом, вы даете согласие на использование данной технологии.
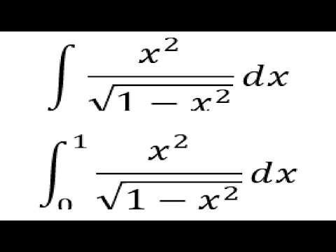
Тригонометрическая подстановка с секансом, упрощенная для начинающих
Изучите тригонометрическую замену с секансом: пошаговые примеры. Плейлист «Исчисление»: • Calculus Тригонометрическая замена для начинающих: пошаговое руководство (статья): Смотреть далее: • Trigonometric Substitution with Tangent Si... Как с нами работать Угостите меня кофе: Свяжитесь с нами! Веб-сайт: Рассылка по электронной почте: LinkedIn: / the-math-perimeter #themathperimeter #josephwbarnett #math О канале: Освойте математический анализ и не только с помощью пошаговых руководств, разработанных для того, чтобы сделать математику доступной, увлекательной и понятной. Меня зовут Джо, я из The Math Perimeter, и я знаю, насколько сложной может быть математика. Именно поэтому мои видео упрощают самые сложные понятия, чтобы вы могли учиться без разочарований. Если вы студент, преподаватель или просто человек, постоянно обучающийся, этот канал предлагает структурированный подход, необходимый для успеха. Подпишитесь сейчас, чтобы осваивать математику постепенно!