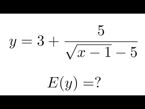
Берілген функцияның мәндер жиынын табу

Егер де алгебра, геометрия, математикалық анализ, жоғарғы математика, дифференциалдық теңдеулер және тағы басқа да математикаға қатысы бар пәндерді түсінбей жүрсеңіздер, біз сіздерге көмектесуге дайынбыз. Барлық сұрақтар бойынша төмендегі аккаунттарға жазсаңыздар болады:   / yernar_math     / yernar.dayarbek  

#жоғарыматематика​ #матан​ #вышмат #комплекссандар #Махмеджанов #Байарыстанов #Айдос #туынды #интеграл #шек #демидович #математика #мектепматематикасы #тригонометрия #математика #алгебра #геометрия #ұбт #ент #матан #рфмш #рфмшалматы

Смотрите также