Сайт использует сервис веб-аналитики Яндекс Метрика с помощью технологии «cookie». Пользуясь сайтом, вы даете согласие на использование данной технологии.
Политика конфиденциальности | Согласие на обработку персональных данных
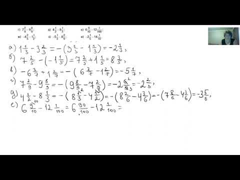
Сложение и вычитание дробей произвольного знака, №570.
Сложение и вычитание смешанных чисел
П. 3.7. Смешанные дроби произвольного знака. №574 - 579
Почему 0 в степени 0 равно 1?
СЛОЖЕНИЕ ДРОБЕЙ И СМЕШАНННЫХ ЧИСЕЛ
Москва резко сменила тон / Кремль просит пощады у США
Учитель из СССР так учил быстро считать дроби. Сложение дробей необычный метод решения
Задача века решена!
П. 3.7. Смешанные дроби произвольного знака. №564 - 572
Вы просыпаетесь в 3 часа ночи? Вашему телу нужна помощь! Почему об этом не говорят?
Сможете решить эти примеры без калькулятора?