Сайт использует сервис веб-аналитики Яндекс Метрика с помощью технологии «cookie». Пользуясь сайтом, вы даете согласие на использование данной технологии.
Политика конфиденциальности | Согласие на обработку персональных данных
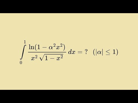
Демидович № 3797. Разбор.
Математическая тревожность, нейросети, задачи тысячелетия / Андрей Коняев
Теорема Пуанкаре-Перельмана простыми словами – математик Алексей Савватеев | Научпоп
Гипотеза Пуанкаре — Алексей Савватеев на ПостНауке
Буревестник: крылатая ракета с ядерным двигателем
Неравенство "века". Решает 1 человек из 1000 !
О нуль-множествах гармонических полиномов | И. М. Васильев