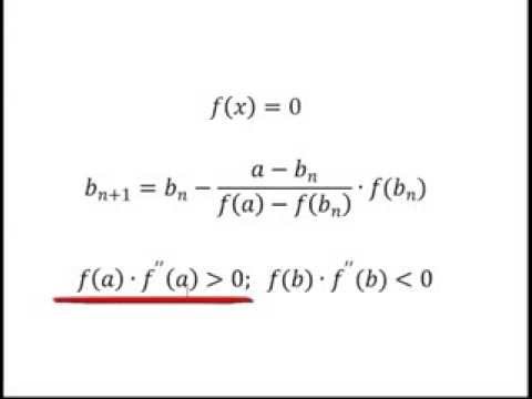
Метод половинного деления Ручной счет Численные методы решения нелинейного уравнения

#численныеметоды #методполовинногоделения #ручнойсчет 1) Постановка задачи 00:45 2) Переменные метода 01:22 3) Условие на сходимость 02:20 4) Действия по методу 05:57 Определяем полученную точность 18:21 5) Ответ 20:08 Изучай весь курс на сайте ИНТУИТ: ТУТ_БУДЕТ_ССЫЛКА Поддержи меня: Сбербанк +79081662278 Репетитор по информатике Нижний Новгород +79081662278 Раздел Информатики для 1 семестра (Алгоритмизация): Подготовка к лаб работам 1 семестр:    • Лекции по Информатике 1 семестр   Линейный алгоритм:    • Линейный алгоритм   Разветвляющийся алгоритм:    • Разветвляющийся алгоритм   Циклический алгоритм:    • Циклический алгоритм   Одномерный массив:    • Одномерный массив   Двумерный массив:    • Двумерный массив   Исправляем ошибки в программах:    • Плейлист   Разбор билетов к экзамену 1 семестр:    • Плейлист   Раздел Информатики для 2 семестра (Численные методы ЧМ): Подготовка к лаб работам 2 семестр:    • Лекции по Информатике 2 семестр Численные ...   ЧМ Решение нелинейного уравнения:    • ЧМ Решение нелинейного уравнения   ЧМ Решение системы линейных уравнений:    • ЧМ Решение системы линейных уравнений   ЧМ Решение задачи аппроксимации, интерполяции:    • ЧМ Решение задачи аппроксимации, интерполяции   ЧМ Решение определенного интеграла:    • ЧМ Решение определенного интеграла   ЧМ Решение ОДУ 2 порядка:    • Плейлист   Исправляем ошибки в программах ЧМ 2 семестр:    • Плейлист   Разбор билетов ЧМ 2 семестр:    • Плейлист   Мои видео посвящены разбору лабораторных работ по Информатике для студентов, которые проходят информатику только на 1 курсе. Подпишитесь на канал, поставьте лайк под видео и пишите в комментариях, какие задачи вы хотите видеть на моем канале! Ваши задачи в моих видео! Группа ВК: https://vk.com/club156825924
Задавайте свои вопросы по задачам: https://vk.com/topic-156825924_36021606
Если у вас ошибки в программах: https://vk.com/topic-156825924_36080397
Список всех плейлистов: https://vk.com/topic-156825924_36063477
Список всех видео: https://vk.com/topic-156825924_36320290
Канал Подслушано по Информатике:    / @podsl_po_info   Список всех плейлистов:    / @podsl_po_info  

Смотрите также