Сайт использует сервис веб-аналитики Яндекс Метрика с помощью технологии «cookie». Пользуясь сайтом, вы даете согласие на использование данной технологии.
Политика конфиденциальности | Согласие на обработку персональных данных
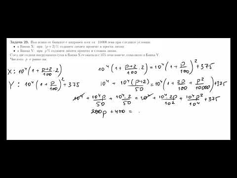
Задачи 19-23 - кандидатстудентски изпит по математика СУ юни 2019
ЗА ОРБАН МОЖЕ РУСКИ ГАЗ, ЗА БЪЛГАРИЯ НЕ?!?
Задачи 22-25 - кандидатстудентски изпит по математика СУ май 2021
Задачи 15-20 - кандидатстудентски изпит по математика СУ 24 март 2019