Сайт использует сервис веб-аналитики Яндекс Метрика с помощью технологии «cookie». Пользуясь сайтом, вы даете согласие на использование данной технологии.
Политика конфиденциальности | Согласие на обработку персональных данных
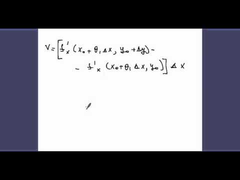
Частные производные высшего порядка функции многих переменных. Теорема о смешанных производных.
САВВАТЕЕВ ДОКАЗЫВАЕТ ТЕОРЕМУ ЗЕМСКОВА, ИСПОЛЬЗУЯ ФОРМУЛУ КАРДАНО, И ОШИБАЕТСЯ!
Смысл интеграла и производной. В помощь студенту
Дифференцирование под знаком интеграла («трюк Фейнмана»). Точные значения «неберущихся» интегралов.
Суть матанализа, Глава 1
Пространства n – измерений