Сайт использует сервис веб-аналитики Яндекс Метрика с помощью технологии «cookie». Пользуясь сайтом, вы даете согласие на использование данной технологии.
Политика конфиденциальности | Согласие на обработку персональных данных
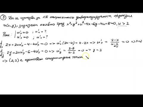
46. Локални екстремуми
48. Екстремуми на функции
УРАВНЕНИЕ ПОКОРИЛО ИНТЕРНЕТ!
Зачем нужны синусы и косинусы?
ПОРТНИКОВ: "Я предупреждал, не хотели слышать". Что с Зеленским, дело Энергоатома, как Покровск
Конец Зеленского
47. Условни екстремуми
Вы просыпаетесь в 3 часа ночи? Вашему телу нужна помощь! Почему об этом не говорят?
ЛИПСИЦ: "Говорят, что я сгущаю краски, но правда вышла наружу!". Что ждать в РФ, КРУТИХИН, "Лукойл"