Сайт использует сервис веб-аналитики Яндекс Метрика с помощью технологии «cookie». Пользуясь сайтом, вы даете согласие на использование данной технологии.
Политика конфиденциальности | Согласие на обработку персональных данных
Алгебра БЖБ№1"Дәрежелер мен түбірлер. Дәрежелік функция " 11 сынып 2 тоқсан
Студент қыз бен дәрігер
ТЖБ/СОЧ 11 сынып. Алгебра ЖМБ 2 тоқсан. 2 нұсқа #тжбалгебра2тоқсан
ҰБТ ДАЙЫНДЫҚ | ЖОСПАРДЫ ҚАЛАЙ ҚҰРАМЫЗ? | КҮНІМІЗДІ БЛОКТАРҒА БӨЛУ | 2025
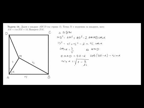
Задачи 12-15 - кандидатстудентски изпит по математика СУ юни 2024
«БІЗДІҢ СЫНЫП» телехикаясы. Барлық бөлімдері