Сайт использует сервис веб-аналитики Яндекс Метрика с помощью технологии «cookie». Пользуясь сайтом, вы даете согласие на использование данной технологии.
Лекция 11 (ФН) Прямая на плоскости. Виды уравнений. Взаимное расположение, расстояние.
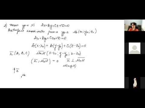
Алгебраические кривые и поверхности. Доказательство того, что многочлен первой степени от двух переменных задает прямую на плоскости. Вывод различных видов уравнения прямой на плоскости: общее, с угловым коэффициентом, векторное, параметрическое, каноническое, "в отрезках", нормальное. Взаимное расположение прямых. Параллельность прямых, совпадающие прямые. Угол между прямыми. Пересечение, параллельность и критерий совместности НСЛАУ. Вывод формулы расстояния от точки до прямой.