Сайт использует сервис веб-аналитики Яндекс Метрика с помощью технологии «cookie». Пользуясь сайтом, вы даете согласие на использование данной технологии.
Политика конфиденциальности | Согласие на обработку персональных данных
9 сынып. Алгебра. 4.79 есеп. Тригонометриялық өрнекті ықшамдау.
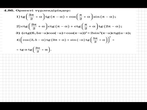
9 сынып. Алгебра. 4.86 есеп. Тригонометриялық өрнекті ықшамдау.
9 сынып. Алгебра. 4.85 есеп. Тригонометриялық өрнекті ықшамдау.
9 сынып. Алгебра. 4.61 есеп. Келтіру формулаларын пайдаланып альфа бұрышын жазу.
ТРИГОНОМЕТРИЯНЫ ОП-ОҢАЙ МЕТОДИКАМЕН 30 МИНУТТА ТҮСІНІП АЛ