Сайт использует сервис веб-аналитики Яндекс Метрика с помощью технологии «cookie». Пользуясь сайтом, вы даете согласие на использование данной технологии.
Политика конфиденциальности | Согласие на обработку персональных данных
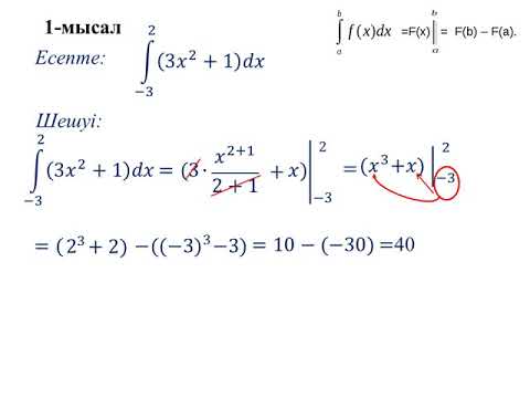
Анықталған интеграл. 1-сабақ
Математикалық анализ, 25 сабақ, Анықталған интеграл. Ньютон - Лейбниц формуласы
20.1;20.2;20.3;20.4-есептер. 20.Тригонометриялық теңдеулер және олардың жүйелерін шешу.10-сынып.
4.5;4.6;4.7-есептер. Анықталған интеграл. Ньютон_Лейбниц формуласы.
11.5;11.6;11.7;11.8 есептер.11-сынып. 11. Иррационал өрнектердің түрлендіру.
Как запоминать всё, как японские студенты (и учиться меньше)