Сайт использует сервис веб-аналитики Яндекс Метрика с помощью технологии «cookie». Пользуясь сайтом, вы даете согласие на использование данной технологии.
Политика конфиденциальности | Согласие на обработку персональных данных
Хэсэгчлэн интегралчлах арга. 7.534,536,538,541,543,544,548 Бодолтууд
Интеграл Орлуулах арга
Хэсэгчлэн интегралчлах арга
Модултай тэгшитгэл-1
Суртлаа давт №38 | Интервалын арга
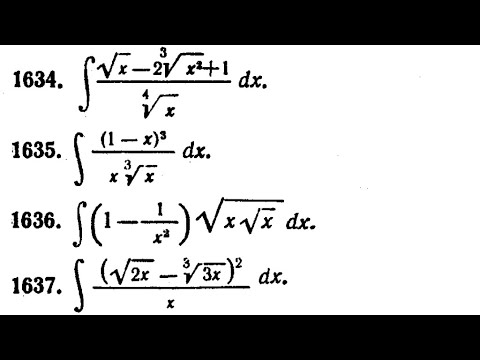
Интегрирование.Задания 1634, 1635, 1636, 1637 из сборника Демидовича
Стрельба у здания парламента / Экстренная отставка министра обороны
Ц.ТАЙВАНСАЙХАН: МАТЕМАТИК ЭЕШ | Рациональ интеграл, хэсэглэн интегралчлах арга
Орлуулах аргаар интеграл бодох
Урилгаа өгөв Cami Cadis Ardiin ania gigi Shymelle Part-1
Математик 11-р анги "Интеграл" I хэсэг