Сайт использует сервис веб-аналитики Яндекс Метрика с помощью технологии «cookie». Пользуясь сайтом, вы даете согласие на использование данной технологии.
Политика конфиденциальности | Согласие на обработку персональных данных
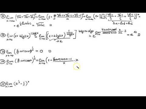
42. Граници на функции
46. Локални екстремуми
Решаване на системи с метода на Гаус
39. Граници на функции
Граници на числови редици, Монотонни редици
⚡️ Срочное обращение Зеленского || Отставка и арест
48. Граници на функции