Сайт использует сервис веб-аналитики Яндекс Метрика с помощью технологии «cookie». Пользуясь сайтом, вы даете согласие на использование данной технологии.
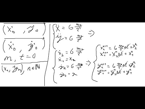
МКЭ на практике #3 | Доходим до расчета общего решения
А вот и 8 лайков на 2 серии!) Ребята, простите за качество! Увидел ваши комментарии - смотреть и правда некомфортно. Но я уже снял урок, откатиться к последнему моменту не удалось. Могу запланировать стрим, если нужно разобрать какие-то вопросы по данной теме.