Сайт использует сервис веб-аналитики Яндекс Метрика с помощью технологии «cookie». Пользуясь сайтом, вы даете согласие на использование данной технологии.
Политика конфиденциальности | Согласие на обработку персональных данных
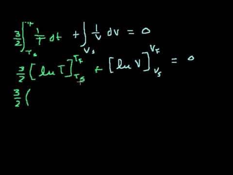
Доказательство: соотношение объёмов в цикле Карно
Тепловая машина Карно ● 1
Урок 178. Тепловые двигатели и их КПД. Цикл Карно
Тысячи раненых в Германии / Худший сценарий
Урок 184. Холодильные машины и тепловые насосы
Нефть дешевеет | Новая эпоха человечества с арбузами в стаканчиках (English subtitles)