Сайт использует сервис веб-аналитики Яндекс Метрика с помощью технологии «cookie». Пользуясь сайтом, вы даете согласие на использование данной технологии.
Политика конфиденциальности | Согласие на обработку персональных данных
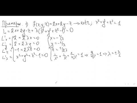
Садовничая И.В. | Лекция 1 по Математическому анализу, 2024, осень | ВМК МГУ
САВВАТЕЕВ ДОКАЗЫВАЕТ ТЕОРЕМУ ЗЕМСКОВА, ИСПОЛЬЗУЯ ФОРМУЛУ КАРДАНО, И ОШИБАЕТСЯ!
лекция 14 по математическому анализу. ВМК, 2 семестр, 28 марта
Садовничая И.В. | Лекция 7 по Математическому анализу, 2023, осень | ВМК МГУ
Заключительная лекция по математическому анализу. ВМК, 2 семестр, 16 мая
Андрей Коняев — Бифуркации в быту и в математике
✓ Правило Лопиталя | матан #040 | Борис Трушин
Как считали число пи? [Veritasium]