Сайт использует сервис веб-аналитики Яндекс Метрика с помощью технологии «cookie». Пользуясь сайтом, вы даете согласие на использование данной технологии.
Политика конфиденциальности | Согласие на обработку персональных данных
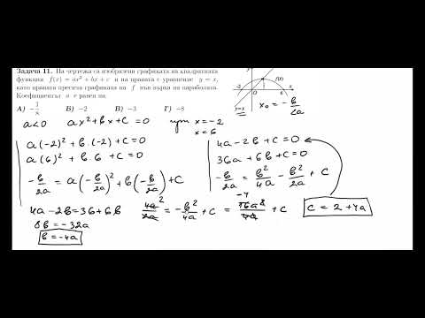
Задачи 8-13 - кандидатстудентски изпит по математика СУ май 2021
Конец Зеленского
Пу и Си “проспали” армаду США / Карибы на краю бездны / Что делать с ворами во власти? /1043/ Швец
Задача века решена!
Куда разрешено проехать водителю белого внедорожника?
Как мнимые числа спасли математику [Veritasium]
Задачи 9-13 - кандидатстудентски изпит по математика СУ април 2018