Сайт использует сервис веб-аналитики Яндекс Метрика с помощью технологии «cookie». Пользуясь сайтом, вы даете согласие на использование данной технологии.
Политика конфиденциальности | Согласие на обработку персональных данных
Математика 7 клас. Формулата (a±b)² - упражнение
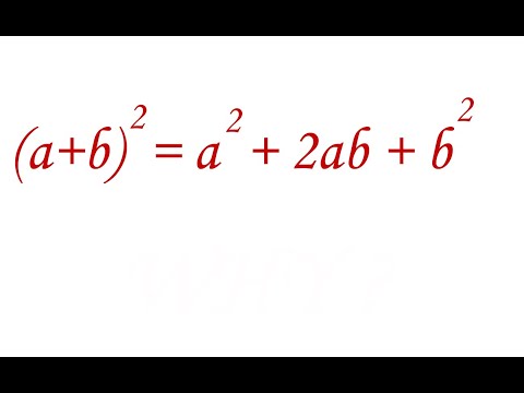
Формули за съкратено умножение. КВАДРАТ НА СБОР
Математика 7 клас. Разлагане чрез формулите за съкратено умножение
ПЪРВА ЛИНИЯ, 7 ноември 2025 г.
Задачи за 7 клас - Как се доказват тъждества? Формули за съкратено умножение
Математика за 8 клас. Общи задачи върху темата ,,Вектори''
ЛОВУШКА НА УСТНОМ ЭКЗАМЕНЕ! Катет РАВЕН 3.
Математика за 7 клас. Формула за съкратено умножение (а+b)²