Сайт использует сервис веб-аналитики Яндекс Метрика с помощью технологии «cookie». Пользуясь сайтом, вы даете согласие на использование данной технологии.
Политика конфиденциальности | Согласие на обработку персональных данных
Метод отжига
Метод Нелдера Мида
Полный факторный эксперимент
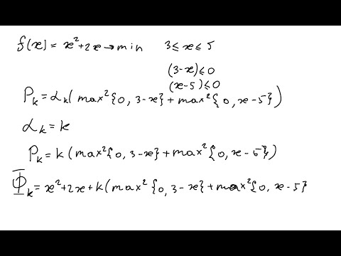
Метод штрафных функций
Методы деления отрезка пополам и золотого сечения