Сайт использует сервис веб-аналитики Яндекс Метрика с помощью технологии «cookie». Пользуясь сайтом, вы даете согласие на использование данной технологии.
Политика конфиденциальности | Согласие на обработку персональных данных
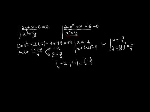
Математика 9 клас. Системи у-ния с 2 неизвестни с 1 линейно у-ние.
Графика на квадратна функция
Математика за 8 клас. Общи задачи върху темата ,,Вектори''
Система уравнения с две неизвестни. Решаване чрез заместване
Математика 10 клас. Квадратна функция.
⚡️ Отставка президента? || Обвинения в адрес Зеленского
Решаване на системи линейни уравнения с две неизвестни чрез заместване 9 клас