Сайт использует сервис веб-аналитики Яндекс Метрика с помощью технологии «cookie». Пользуясь сайтом, вы даете согласие на использование данной технологии.
Политика конфиденциальности | Согласие на обработку персональных данных
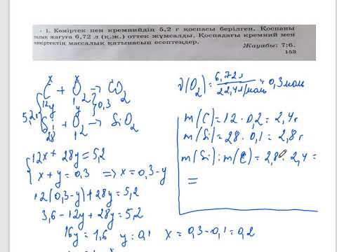
Параллель реакция теңдеулері бойынша есептер шығару (жалғасы)
Термохимиялық реакциялар бойынша есептер химия қазақша ҰБТ
Химиялық реакция теңдеуі бойынша қоспа құрамындағы заттың массасын анықтау
Параллель реакция теңдеулері бойынша есептер шығару
Сдаст ли вас оператор за поиск в интернете? Михаил Климарёв
Тотығу тотықсыздану реакциялары. Электрондық баланс әдісі
Мифы и правда о ТЕЛЕПОРТАЦИИ!
Термохимиялық теңдеулерге есептер шығару. 8 сынып.