Сайт использует сервис веб-аналитики Яндекс Метрика с помощью технологии «cookie». Пользуясь сайтом, вы даете согласие на использование данной технологии.
Политика конфиденциальности | Согласие на обработку персональных данных
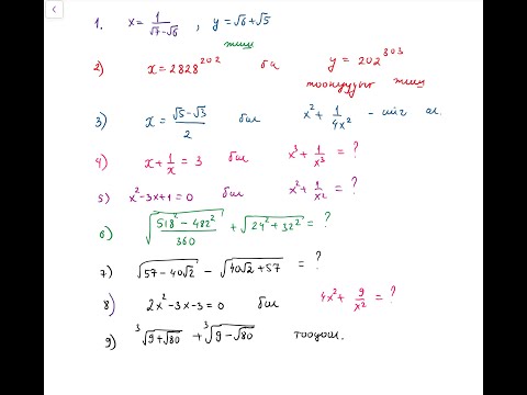
Тооны машин ашиглахгүйгээр Квадрат язгуур гаргах
6000 тест. 1-р бүлэг. 1.211-1.214 бодолт
Язгуур-1
Irrational ilerhiilliin utga-Иррациональ илэрхийллийн утга
МАТЭЕШ#7: Алгебрийн илэрхийлэл
Тоон ба үсэгт илэрхийлэл.2. Жишээ 9 бодлого.
Зэргүүдийн үржвэрийн чанар
МатЭЕШ#4. Зэрэг язгуур
Бүлэглэх аргаар үржигдэхүүн болгон задлах
Тооны квадрат язгуурыг тооны машин ашиглахгүй олох арга