Сайт использует сервис веб-аналитики Яндекс Метрика с помощью технологии «cookie». Пользуясь сайтом, вы даете согласие на использование данной технологии.
Политика конфиденциальности | Согласие на обработку персональных данных
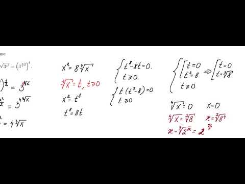
Показательные уравнения часть 1
Анализ на многообразиях, Лекция 11, А.В.Пенской
Решение неравенств с реальных ЕГЭ с идеальным оформлением | Alles
КАК РЕШАТЬ НЕРАВЕНСТВА | 15 номер | Профильная математика
Функция, область определения функции
Тер вер 2 Лингвисика и коммерция
⚡️ Самая масштабная атака РФ по Киеву || Срочный вылет Зеленского