Сайт использует сервис веб-аналитики Яндекс Метрика с помощью технологии «cookie». Пользуясь сайтом, вы даете согласие на использование данной технологии.
Политика конфиденциальности | Согласие на обработку персональных данных
Интегриране по части (упражнение)
Неопределен интеграл. Непосредствено интегриране
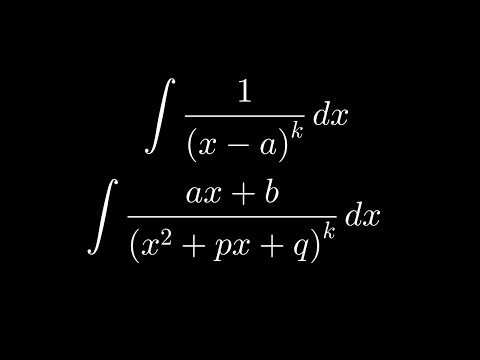
Интегриране на елементарните дроби
ПРАВИЛА ЗА ИНТЕГРИРАНЕ: Метод на внасяне под знака на диференциала
Неопределен интеграл. Методи за пресмятане (обща схема)