Признак сходимости Лейбница для знакопеременных рядов - bezbotvy

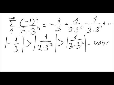
Для проверки сходимости знакопеременных рядов принято использовать признак Лейбница. Он позволяет определить, сходится ли данный ряд и как именно он сходится? Если ряды с положительными членами либо сходятся либо расходятся, то знакопеременные ряды могут расходиться, сходиться абсолютно и сходиться условно. Другие видео по этой теме: Основные понятия числовых рядов -    • Числовые ряды. Основные понятия - bezbotvy   СпецКласс - это бесплатные видео уроки и онлайн вебинары, которые помогут вам в учебе, подготовке к ГИА и ЕГЭ и сдачи сессии. Видеоуроки длятся не более 5 минут, за которые вы сможете разобраться в решении сложных примеров или понять теорию. Все, что останется сделать - это решить свой пример по аналогии! ---------------- Остались вопросы? Пишите их в комментариях где удобно! Все уроки по порядку -
Присылайте свои вопросы по решениям - http://vk.com/specclass
Следите за новыми видео -   / specclass  

Смотрите также