Сайт использует сервис веб-аналитики Яндекс Метрика с помощью технологии «cookie». Пользуясь сайтом, вы даете согласие на использование данной технологии.
Политика конфиденциальности | Согласие на обработку персональных данных
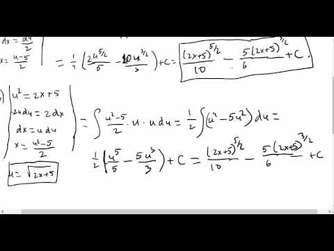
Жаңа айнымалы енгізу арқылы интегралдау (Есептер шығару)
МАТЕМАТИКА | БӨЛІКТЕП ИНТЕГРАЛДАУ| САЯТ АҒАЙМЕН
Бөлшек рационал функцияның интегралы
Бөліктеп интегралдау
4.1 Метод интегрирования по частям. Часть 1
Жаңа айнымалы енгізу әдісімен теңдеуді шешу
ҰБТ-ға дайындық. Математика. Интегралдау тәсілдері:жаңа айнымалыны енгізу және бөліктеп интегралдау
Корень из двух – первая математическая трагедия // Vital Math