Сайт использует сервис веб-аналитики Яндекс Метрика с помощью технологии «cookie». Пользуясь сайтом, вы даете согласие на использование данной технологии.
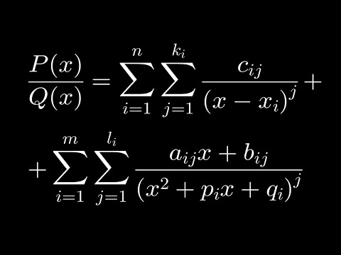
В това видео ще научите как се интегрира елементарна дроб от вида 1/(x^2+a^2)^2. Основната техника е свеждането на интеграла до сума на два интеграла, първият от които се свежда до табличен, а втория се пресмята чрез внасяне зад диференциала и интегриране по части. Интегралът от тази дроб е известен като интеграл на 14-те хиляди, тъй като се твърди, че такъв е бил броят на скъсаните студенти, които са имали за задача да го пресметнат и не са успяли. Обща схема за смятане на интеграли - • Неопределен интеграл. Методи за пресмятане... Интеграл на 14-те хиляди - • Интеграл на 14-те хиляди Интегриране чрез разлагане в сума от елементарни дроби- • Интегриране на рационална функция (чрез ра... Личен уебсайт - Ако искаш още такива видеа -